PRODUCT

°í°´¸¸Á·À» À§ÇØ Áö¼ÓÀûÀ¸·Î °í¹ÎÇϰí Çõ½ÅÇÏ¿© ÃÖ°íÀÇ Ç°ÁúÀ» Á¦°øÇÕ´Ï´Ù.

SY Innovation's Products

Product > SY Innovation's Products
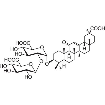
Glycyrrhizic acid; CAS# 1405-86-3
CAS No 1405-86-3
¿ø»êÁö/³³±â CN
Àç°í 1 EA
±Ý¾× 0¿ø



Chemical name: Glycyrrhizic acid

CAS# 1405-86-3

Packing: 1g

Storage: 2¡É¡¾4¡É

Assay: 95%min.

Lead time : 2~3ÁÖ

 

 

 

 

¢Â ±âŸ¹®ÀÇ ¢Â

   Tel. 031-653-7658
    Fax. 031-8039-4411
    e-mail. info@syinnovation.co.kr 
    Ä«Ä«¿ÀÅå ¹®ÀÇ ID "»ï¿µÀ̳뺣À̼ÇÀ» °Ë»ö