PRODUCT

°í°´¸¸Á·À» À§ÇØ Áö¼ÓÀûÀ¸·Î °í¹ÎÇϰí Çõ½ÅÇÏ¿© ÃÖ°íÀÇ Ç°ÁúÀ» Á¦°øÇÕ´Ï´Ù.

SY Innovation's Products

Product > SY Innovation's Products
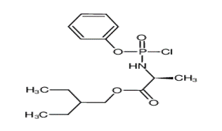
Remdesivir Impurity 26 ; CAS# 1355049-92-1
CAS No 1355049-92-1
Á¦Ç°¹øÈ£ SY Innovation
¿ø»êÁö/³³±â CN
Àç°í 1 EA
±Ý¾× 0¿ø



Impurities

Chemical name: Remdesivir Impurity 26

CAS# 1355049-92-1

Æ÷Àå´ÜÀ§ : Customization

³³±â : 2~3ÁÖ

 

 

 

 

¢Â ±âŸ¹®ÀÇ ¢Â

   Tel. 031-653-7658
    Fax. 031-8039-4411
    e-mail. info@syinnovation.co.kr 
    īī¿ÀÅå ¹®ÀÇ : ID "»ï¿µÀ̳뺣À̼Ç" À» °Ë»ö