PRODUCT

°í°´¸¸Á·À» À§ÇØ Áö¼ÓÀûÀ¸·Î °í¹ÎÇϰí Çõ½ÅÇÏ¿© ÃÖ°íÀÇ Ç°ÁúÀ» Á¦°øÇÕ´Ï´Ù.

SY Innovation's Products

Product > SY Innovation's Products
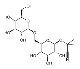
Linustatin; CAS# 72229-40-4
CAS No 72229-40-4
Á¦Ç°¹øÈ£ SYO72229404
Á¦Á¶»ç SY innovation
¿ø»êÁö/³³±â CN / 3-4weeks
Àç°í 1 EA
±Ý¾× 0¿ø