PRODUCT

°í°´¸¸Á·À» À§ÇØ Áö¼ÓÀûÀ¸·Î °í¹ÎÇϰí Çõ½ÅÇÏ¿© ÃÖ°íÀÇ Ç°ÁúÀ» Á¦°øÇÕ´Ï´Ù.

Natural Compounds

Product > Natural Compounds
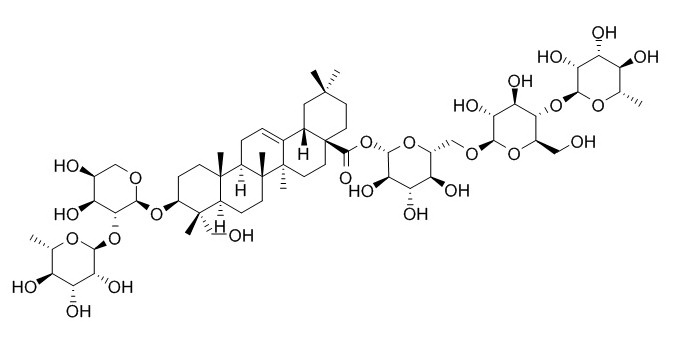
CAS 14216-03-6 ; Hederacoside C
Á¦Á¶»ç chemfaces
¿ø»êÁö/³³±â china
Àç°í 1 EA
±Ý¾× 87,000¿ø




Packing : 20mg

Lead Time : 2~3weeks

 

 

Name : Hederacoside C

Type£ºTriterpenoids

CAS.NO£º14216-03-6

Purity£º¡Ã98%

Molecular£º1221.38

Formula£ºC59H96O26

 

 

¢Â Contact details¢Â

   Tel. 031-653-7658
    Fax. 031-8039-4411
    e-mail. info@syinnovation.co.kr 
   Kakaotalk ID "»ï¿µÀ̳뺣À̼Ç" À» °Ë»ö